(45) 99843-0485
associe-se

publicado em 2025-09-29

Paraná amplia produtividade e alcança safra recorde de grãos na temporada 24/25.

 

Produção estadual chega a 46,3 milhões de toneladas, quase 19% acima do ciclo anterior; Brasil registra novo recorde nacional com 350,2 milhões de toneladas.

 

 

O Paraná deve colher 46,3 milhões de toneladas de grãos na safra 2024/2025, número considerado recorde para o estado. A estimativa foi divulgada pelo Departamento de Economia Rural (Deral), da Secretaria da Agricultura e do Abastecimento (Seab), no último dia 25, e ainda depende da conclusão da colheita das culturas de inverno.

Segundo o boletim, a produção prevista supera em muito a do ciclo 2023/2024, que somou 38,48 milhões de toneladas, e também o recorde anterior, registrado em 2022/2023, de 45,48 milhões de toneladas.

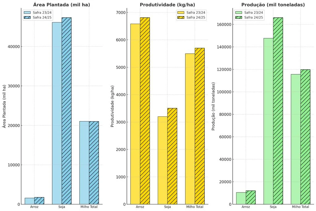
Principais culturas do Paraná

  • Soja: 21,4 milhões de toneladas

  • Milho: 20,4 milhões de toneladas

  • Feijão: 841 mil toneladas

  • Arroz: 136 mil toneladas

  • Café: 44,9 mil toneladas

O desempenho das culturas de inverno também chama atenção. Até o momento, 41% da área de trigo foi colhida, com rendimento médio de 3.258 kg/ha, contra 2.139 kg/ha na safra anterior. A cevada também apresentou avanço, passando de 3.841 kg/ha para 4.333 kg/ha neste ciclo.

A expectativa é colher 449 mil toneladas de cevada em 103 mil hectares cultivados — área maior que os 82,2 mil hectares do ciclo anterior. Até agora, 12% da área já foi colhida.

“Se as condições favoráveis persistirem, a safra recorde estará assegurada”, afirmaram técnicos do Deral.

Safra de verão 25/26

O plantio da safra de verão já começou. As chuvas que favoreceram as lavouras de inverno também umedeceram o solo, acelerando a semeadura. Até o início desta semana, o plantio havia alcançado:

  • Milho: 64% da área prevista

  • Batata: 60%

  • Feijão (1ª safra): 28%, com maior concentração no Sul do estado

Crescimento por produtividade e dados nacionais;

Após ampliar a produtividade por hectare, o Paraná registrou produção de 44,2 milhões de toneladas, segundo dados da Conab. A produtividade média passou de 3.630 kg/ha em 23/24 para 4.442 kg/ha, crescimento de 22,4%.

No plano nacional, a safra de grãos 2024/25 está estimada em 350,2 milhões de toneladas, superando o recorde de 2022/23 (324,36 milhões), um aumento de 16,3%. Milho, soja, arroz e algodão são responsáveis por cerca de 47 milhões de toneladas desse incremento.

Destaques nacionais

  • Soja: produção recorde de 171,5 milhões de toneladas, com produtividade média de 3.621 kg/ha

  • Milho: produção total de 139,7 milhões de toneladas, produtividade média de 6.391 kg/ha

  • Algodão: produção estimada em 4,1 milhões de toneladas, aumento de 9,7%

  • Arroz: produção de 12,8 milhões de toneladas, quarta maior da história

  • Feijão: produção próxima de 3,1 milhões de toneladas, garantindo abastecimento interno

O presidente da Conab, Edegar Pretto, destacou:

“Apresentamos a maior safra agrícola da história, com recordes de soja e milho, e fortalecimento dos estoques públicos, essenciais no combate à fome.”

O ministro da Agricultura, Carlos Fávaro, ressaltou:

“Esse resultado garante estabilidade de preços internos, fortalece a balança comercial e mostra que agricultura forte significa crescimento econômico.”

O ministro do Desenvolvimento Agrário, Paulo Teixeira, afirmou:

“Estamos vivendo deflação dos alimentos, fortalecimento da soberania alimentar e recorde de exportações. É a presença do Estado garantindo resultados para o povo brasileiro.”

 

 

 

Fonte: Agrolink e Conab – Marketing SindiFoz Foto: Divulgação

 

FALE CONOSCO (45) 99843-0485 adm@sindifoz.com.br diretor@sindifoz.com.br presidente@sindifoz.com.br
ONDE ESTAMOS Rua Silvio Sottomaior, 187, salas 06 e 07 Pilar Parque Campestre Foz do Iguaçu/PR CEP: 85862-295
COMO CHEGAR
COMO CHEGAR
SINDIFOZ NAS MÍDIAS
Sindifoz 1990 - 2026 - Todos os Direitos Reservados